What is differentiation in a single variable?
Earth and Atmospheric Sciences
In the context of Zeno’s paradoxes, the sum of a series is the mathematical tool that explains how an infinite number of smaller and smaller “intervals” can add up to a single, finite “whole.”
Zeno’s paradoxes, like the Dichotomy or Achilles and the Tortoise, essentially argue that you can never finish a task because you must first finish an infinite number of sub-tasks. Calculus resolves this by showing that an infinite series can converge.
1. The Mathematical Representation
If you are 1 meter away from a wall and move half the distance, then half of the remaining distance, and so on, your total distance traveled is the sum of this infinite series:
S = 1 / 2 + 1 / 4 + 1 / 8 + 1 / 16 + … + 1 / 2n + …
This is a Geometric Series, where each term is the previous term multiplied by a constant ratio (r = 1/2).
2. Partial Sums vs. The Infinite Sum
To understand the sum of an infinite series, mathematicians look at partial sums (Sn), which is the total after a specific number of steps:
- S1: 1/2 = 0.5
- S2: 1/2 + 1/4 = 0.75
- S3: 1/2 + 1/4 + 1/8 = 0.875
- S10: ≈ 0.99902
As n (the number of steps) increases, the partial sum Sn gets closer and closer to 1. In calculus, we say the sum of the infinite series is the limit of these partial sums as n approaches infinity.
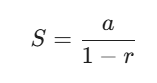
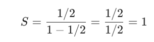
3. The Formula for Zeno
For any geometric series where the ratio $r$ is between $-1$ and $1$, the sum is calculated as:

In Zeno’s case, the first term a = 1/2 and the ratio r = 1/2:

4. Why this defeats the Paradox
Zeno’s logic relied on a hidden premise: If you add an infinite number of distances together, the total distance must be infinite.
The Sum of a Series proves this premise is false. Even though there are an infinite number of “halves” to cross, the total distance is exactly 1 meter.
Furthermore, if you are moving at a constant speed, the time taken to cross each interval also forms a convergent series (e.g., 1/2 sec + 1/4 sec + 1/8 sec…). This means you not only cover the distance, but you do it in a finite amount of time (1 second).
