Physics

Earth and Atmospheric Sciences

College Physics 2: Lecture 15: Series, Parallel, and Combination Circuits (Part 2) – Soahn’s Science Lectures

It’s a classic “chicken and egg” scenario, but in physics, the distinction is actually quite sharp. Think of the magnetic field as the “territory” and the magnetic force as what happens when you try to cross into it.


1. The Field is the Map

A magnetic field is a region in space around a magnet or an electric current where magnetic influence exists. It’s invisible, but it’s always “there,” even if there isn’t another object around to feel it.

We represent these fields using magnetic field lines. The density of these lines tells you how strong the field is at any given point.

  • Symbol: B (measured in Teslas)
  • Nature: It is a vector field, meaning it has both magnitude and direction.
10,800+ Magnetic Field Stock Illustrations, Royalty-Free Vector Graphics & Clip Art – iStock | Earth magnetic field, Earth’s magnetic field, Magnetic field lines

2. The Force is the Interaction

The magnetic force is the actual push or pull experienced by a moving charge or another magnet when it enters that field. Crucially: if nothing is moving and no other magnets are present, there is no force, even if the field is incredibly strong.

The Lorentz Force Law

The relationship is mathematically defined by how a magnetic field affects a moving point charge (q):

Where:

  • F is the magnetic force.
  • q is the electric charge.
  • v is the velocity of the charge.
  • B is the magnetic field vector.

Key Differences at a Glance

FeatureMagnetic Field (B)Magnetic Force (F)
ExistenceExists around any magnet/current.Only exists during an interaction.
RequirementJust a source (like a wire or magnet).Requires a moving charge or another magnet.
DirectionPoints from North to South.Perpendicular to both the field and the velocity.

The “Right-Hand Rule”

Because the force is the result of a cross product (the × in the formula above), the force doesn’t push in the direction of the field lines. Instead, it pushes sideways.

If you point your fingers in the direction of the velocity (v) and curl them toward the magnetic field (B), your thumb points in the direction of the force (F).

10,800+ Magnetic Field Stock Illustrations, Royalty-Free Vector Graphics & Clip Art – iStock | Earth magnetic field, Earth’s magnetic field, Magnetic field lines

The Big Takeaway: The field is the potential for an interaction; the force is the actual interaction. You can have a field without a force, but you can’t have a magnetic force without a field.

What are magnetic fields?

College Physics 2: Lecture 17 – Magnetism and Magnetic Fields – Spahn’s Science Lectures

Think of a magnetic field as an invisible “map” of influence. It is a vector field that describes how magnetic forces are distributed in the space surrounding a magnetic object or an electric current.

Even though you can’t see the field itself, you can see its effects—like when iron filings magically align themselves on a piece of paper held over a magnet.


1. How Magnetic Fields are Created

Magnetic fields don’t just appear out of nowhere; they are generated by moving electric charges. This happens in two main ways:

  • Macroscopic Currents: Electricity flowing through a wire creates a circular magnetic field around that wire.
  • Microscopic “Spin”: In permanent magnets (like the one on your fridge), the field comes from the orbital motion and “spin” of electrons inside the atoms. When these spins align in the same direction, the material becomes magnetic.
10,800+ Magnetic Field Stock Illustrations, Royalty-Free Vector Graphics & Clip Art – iStock | Earth magnetic field, Earth’s magnetic field, Magnetic field lines

2. Key Characteristics

To understand a magnetic field, physicists look at three main properties:

  • Direction: By convention, field lines always exit from the North Pole and enter the South Pole. Inside the magnet itself, they travel from South to North to form a continuous loop.+1
  • Strength (Magnitude): The field is strongest where the lines are most densely packed (usually at the poles). The unit of measurement for magnetic field strength is the Tesla (T).
  • Polarity: Magnetic fields are “dipolar,” meaning they always have a North and a South pole. If you cut a magnet in half, you don’t get a lone North pole; you get two smaller magnets, each with its own North and South.

3. Visualizing the Field

We use Magnetic Field Lines to visualize this invisible force. These lines follow a few strict rules:

  1. They never cross each other.
  2. They form closed loops.
  3. The closer together the lines are, the stronger the magnetic field is in that area.

4. Real-World Examples

  • The Earth: Our planet is essentially a giant bar magnet. Its magnetic field (the magnetosphere) protects us from solar radiation and makes compasses work.+1
  • Electromagnets: By coiling wire and running a current through it, we can create magnetic fields that can be turned on and off. These are used in everything from MRI machines to scrap metal cranes.
  • Data Storage: Hard drives use tiny magnetic fields to “write” data by flipping the magnetic orientation of microscopic sections on a disk.

Fun Fact: If you could see the Earth’s magnetic field, it would look like giant loops stretching thousands of miles into space, shielding us from the “solar wind” of the sun.

What is the force that a magnetic field exerts on a moving charge?

College Physics 2: Lecture 18 – Magnetic Fields Due to Currents – Spahn’s Science Lectures

When a charged particle moves through a magnetic field, it doesn’t get pulled toward the poles like a piece of iron. Instead, it gets pushed sideways. This sideways push is known as the Lorentz Force.

The most unique thing about this force is that it is always perpendicular to both the direction the particle is traveling and the direction of the magnetic field.


1. The Mathematical Formula

The force F exerted on a charge $q$ moving with velocity v in a magnetic field B is given by:

If you want to calculate just the strength (magnitude) of that force, you use:

Where:

  • F: Magnetic force (Newtons)
  • q: Electric charge (Coulombs)
  • v: Velocity of the charge (m/s)
  • B: Magnetic field strength (Teslas)
  • θ: The angle between the velocity vector and the magnetic field vector.

2. Three Critical Rules of the Force

Because of that sin(θ) term, the force behaves in some very specific ways:

  • No Motion = No Force: If the particle is sitting still (v = 0), the magnetic field ignores it completely.
  • Parallel Motion = No Force: If the particle is moving perfectly along the field lines (either with them or against them), the angle is 0° or 180°. Since sin(0°) = 0, there is no magnetic force.
  • Maximum Force: The force is strongest when the particle flys perpendicular ($90^\circ$) to the field lines.

3. Determining Direction: The Right-Hand Rule

Since the force is a “cross product,” its direction is 3D. You can find it using your right hand:

  1. Point your fingers in the direction of the velocity (v).
  2. Curl your fingers toward the magnetic field (B).
  3. Your thumb points in the direction of the force (F) for a positive charge.
  4. Note: If the charge is negative (like an electron), the force points in the exact opposite direction of your thumb.
10,800+ Magnetic Field Stock Illustrations, Royalty-Free Vector Graphics & Clip Art – iStock | Earth magnetic field, Earth’s magnetic field, Magnetic field lines

4. Why Does This Matter?

This “sideways” force causes moving charges to travel in circular or helical paths. This isn’t just a lab curiosity; it’s how we:

  • Steer beams of electrons in old CRT televisions.
  • Trap plasma in fusion reactors (Tokamaks).
  • Protect the Earth: Our magnetic field deflects harmful solar particles, spiraling them toward the poles where they create the Aurora Borealis (Northern Lights).

What is the motion of a charged particle in a magnetic field?

College Physics 2: Lecture 19 – Magnetic Forces on Charges – Spahn’s

When a charged particle enters a magnetic field, it doesn’t just speed up or slow down like it would in an electric field. Because the magnetic force ($F$) is always perpendicular to the particle’s velocity ($v$), the field acts as a centripetal force.

Instead of changing the particle’s speed, it changes its direction, forcing it into a curved path. Depending on how the particle enters the field, its motion usually falls into one of three categories:


1. Circular Motion

If a particle enters a uniform magnetic field perpendicularly ($\theta = 90^\circ$), it will be locked into a perfect circle.

Since the force always points toward a central point, the magnetic force equals the centripetal force ($mv^2 / r$). We can calculate the radius ($r$) of this circle (often called the Larmor radius) using:

$$r = \frac{mv}{qB}$$

  • Mass ($m$): Heavier particles make wider turns.
  • Velocity ($v$): Faster particles make wider turns.
  • Charge/Field ($q, B$): Stronger charges or fields result in tighter, smaller circles.

2. Helical (Spiral) Motion

In the real world, particles rarely enter a field at a perfect $90^\circ$ angle. If the particle enters at an oblique angle, its velocity has two components:

  1. Perpendicular component: This creates the circular rotation.
  2. Parallel component: This part of the velocity is unaffected by the magnetic field, so the particle continues to move forward in a straight line.

The combination of “moving in a circle” and “moving forward” creates a helix (a corkscrew shape).


3. Magnetic Bottling and Trapping

If the magnetic field is not uniform (i.e., the field lines get closer together at the ends), the particle can be reflected back. This is known as magnetic mirroring.

The particle spirals toward the stronger field, slows down its forward progress, and eventually “bounces” back toward the weaker field. This “bottling” effect is exactly how the Earth’s magnetic field traps solar radiation in the Van Allen radiation belts.


Summary of Motion Types

Entry Angle (θ)Resulting MotionDescription
0° or 180°Straight LineNo force is exerted; the particle ignores the field.
$90^\circ$CircularConstant sideways push creates a perfect orbit.
Any other angleHelicalA spiral path that moves along the field lines.

Why This Matters: The Aurora Borealis

This motion is the reason we have the Northern and Southern Lights. Charged particles from the sun (solar wind) hit Earth’s magnetic field and get caught in helical motion. They spiral down the field lines toward the North and South poles. When they hit the atmosphere, they glow, creating the beautiful light displays we see from the ground.

What is the mass spectrometer?

College Physics 2: Lecture 20 – Magnetic Forces on Currents – Spahn’s Science Lectures

A mass spectrometer is an advanced analytical instrument used to identify the chemical “fingerprint” of a substance. It works by converting molecules into gas-phase ions and then using magnetic and electric fields to sort them based on their mass-to-charge ratio ($m/z$).

Think of it like a high-speed sorting machine for atoms: if you threw a handful of ping-pong balls and lead shot past a powerful fan, the light balls would blow away easily, while the heavy lead would fly straight. A mass spectrometer does the exact same thing with ions.


1. How It Works (The Four Stages)

To analyze a sample, the machine puts it through four distinct steps:

A. Ionization

The sample is hit with a beam of high-energy electrons. This knocks electrons off the atoms, turning them into positive ions.

  • Crucial point: Magnetic fields only affect moving charges, so the atoms must be ionized first.

B. Acceleration

The new ions are passed between two charged plates. This gives all the ions the same amount of kinetic energy, launching them into the next stage at high speeds.

C. Deflection (The “Magnetic” Part)

This is where the physics we discussed earlier comes into play. The ions enter a uniform magnetic field. As we know, a magnetic field exerts a sideways force on moving charges, causing them to move in a circular path.

Recall the radius formula:

  • Light ions (m is small) are deflected a lot (small radius).
  • Heavy ions (m is large) are deflected only a little (large radius).

D. Detection

A detector at the end of the curve counts how many ions hit at each specific point. By knowing the strength of the magnetic field ($B$) and where the ion landed ($r$), the machine can calculate the exact mass of the particle.


2. What Does the Output Look Like?

The result is a Mass Spectrum—a graph showing the relative abundance of each mass found in the sample.


3. Why Do We Use It?

Mass spectrometry is one of the most powerful tools in modern science because it is incredibly precise. It is used for:

  • Forensics: Identifying unknown toxins or drugs in a blood sample.
  • Space Exploration: Analyzing the soil on Mars to look for organic molecules.
  • Medicine: Screening newborn babies for metabolic disorders.
  • Environmental Science: Detecting trace amounts of pollutants in drinking water.

Summary Table

StageActionPhysics Principle
IonizationCreate charged particles.Electron impact.
AccelerationGain speed.Electric potential energy.
DeflectionSort by mass.Lorentz Force (F = qvB).
DetectionCount the hits.Current measurement.

Pro Tip: If you have a mixture of isotopes (atoms of the same element with different masses), a mass spectrometer is the only way to separate them perfectly.

What is the Hall effect?

College Physics 2: Lecture 21 – Electromagnetic Induction – Spahn’s Science Lectures

The Hall effect is the production of a voltage difference (the Hall voltage) across an electrical conductor when a magnetic field is applied perpendicular to the direction of the current.

Discovered by Edwin Hall in 1879, it is the direct “smoking gun” evidence of the Lorentz Force acting on moving charges inside a solid material.


1. How It Works

Imagine a flat, conductive ribbon carrying an electric current. Under normal conditions, the electrons flow straight through the center. However, when you “turn on” a magnetic field perpendicular to the ribbon, things change:

Magnetic Force: As the electrons (q) move with velocity (v) through the magnetic field (B), they experience a sideways force:

Charge Separation: This force pushes the electrons toward one edge of the conductor. This leaves the opposite edge with a net positive charge.

Electric Field Creation: This separation of charge creates an internal electric field (E) that points across the width of the conductor.

Equilibrium: Eventually, the “push” from the magnetic field is perfectly balanced by the “pull” from the newly created electric field. At this point, the voltage measured across the edges is the Hall Voltage (VH).


2. The Mathematics

The Hall voltage is defined by the strength of the magnetic field, the current, and the properties of the material:

  • VH is the Hall voltage.
  • I is the current.
  • B is the magnetic field strength.
  • n is the charge carrier density (how many electrons are available to move).
  • t is the thickness of the plate.
  • e is the elementary charge of an electron.

3. Why Is It Important?

The Hall effect isn’t just a physics curiosity; it solved a major mystery and powers modern technology.

Identifying the Charge Carrier

Before the Hall effect, scientists weren’t 100% sure if current was caused by positive charges moving one way or negative charges moving the other.

  • By measuring the polarity (positive or negative) of the Hall voltage, we can prove whether the moving charges are electrons (negative) or “holes” (positive).

Practical Applications

  • Magnetic Field Sensors: Almost every smartphone uses a “Hall Effect Sensor” to act as a digital compass by sensing the Earth’s magnetic field.
  • Proximity Sensing: In cars, Hall sensors detect the position of the crankshaft or the closing of a door without any physical contact.
  • Current Measurement: It allows us to measure high-voltage current in a wire without actually touching the bare wire, making it much safer.
  • Fluid Flow Meters: It can even be used to measure the flow rate of conductive liquids (like blood or saltwater).

Summary Table

FeatureDescription
InputCurrent (I) + Magnetic Field (B)
OutputTransverse Voltage (VH)
Physical CauseLorentz Force pushing charges to the side.
Key DiscoveryProved that electrons are the primary charge carriers in metals.

Fun Fact: The Hall effect is used in “Hall Thrusters” on spacecraft. They use magnetic fields to accelerate ions at incredible speeds, providing efficient propulsion for satellites.

What is the force on a current in a magnetic field?

College Physics 2: Lecture 22 – Electromotive Force – Spahn’s Science Lectures

When we move from a single particle to a current-carrying wire, the physics remains the same, but the effect is amplified. Since a current is just a collection of many moving charges, the magnetic field exerts a collective force on the entire wire.

This is the fundamental principle that allows electric motors to spin.


1. The Magnetic Force Formula

For a straight wire of length L carrying a current I in a uniform magnetic field B, the force (F) is calculated using:

F = qvBsinθ

To find the magnitude (strength) of the force:

F = ILBsin(θ)

Where:

  • I: Current (Amperes)
  • L: Length of the wire inside the field (meters)
  • B: Magnetic field strength (Teslas)
  • θ: The angle between the direction of the current and the magnetic field lines.

2. Key Rules of the Interaction

Just like with single particles, the orientation of the wire matters immensely:

  • Maximum Force: Occurs when the wire is perpendicular (90°) to the field lines.
  • Zero Force: If the wire is parallel to the field lines, the magnetic field exerts no force on it at all.
  • Direction: The force is always perpendicular to both the wire and the field.

3. The Right-Hand Rule (for Wires)

You can determine which way the wire will jump using your right hand:

Point your thumb in the direction of the current (I).

Point your fingers in the direction of the magnetic field (B).

Your palm “pushes” in the direction of the magnetic force (F).

Right hand thumb rule. direction of current and direction of magnetic field. physics lessons. | Premium Vector

4. Forces Between Two Parallel Wires

One of the most interesting results of this physics is what happens when you place two current-carrying wires near each other. Because every current creates its own magnetic field, the wires will actually exert forces on one another:

  • Currents in the same direction: The wires attract each other.
  • Currents in opposite directions: The wires repel each other.

5. Why Does This Matter?

This force is the backbone of modern electrical engineering:

  • Electric Motors: By placing a loop of wire in a magnetic field, the forces on opposite sides of the loop create torque, making the motor spin.
  • Loudspeakers: A varying current in a coil interacts with a permanent magnet, pushing and pulling a cone to create sound waves in the air.
  • Railguns: Massive currents are used to create enormous magnetic forces that launch projectiles at hypersonic speeds.

Fun Fact: The official definition of the Ampere (the unit of current) was historically based on the magnetic force measured between two parallel wires!

What creates the torque on a current-carrying coil?

College Physics 2: Lecture 23 – Induced Current in a Circuit – Spahn’s Science Lecture

The torque on a current-carrying coil is created by the magnetic force acting on the opposite sides of the coil. While the total net force on a closed loop in a uniform magnetic field is zero, the forces on the individual “arms” of the loop act in opposite directions, creating a turning effect.

This is the fundamental principle behind every electric motor in the world.


1. The Anatomy of the Torque

Imagine a rectangular loop of wire placed inside a magnetic field. Let’s look at what happens to the four sides of the loop when current flows through it:

  • The Top and Bottom Sides: If these are parallel to the magnetic field, they experience zero magnetic force (F = ILBsin(0°) = 0).
  • The Left and Right Sides: These sides are perpendicular to the field. According to the Right-Hand Rule, the force on one side will push up, while the force on the other side will push down.

Even though these two forces cancel each other out (so the motor doesn’t fly off the table), they are separated by a distance. This “offset” creates torque (τ), which causes the loop to rotate around its central axis.


2. The Mathematical Formula

The torque produced by a single loop of wire depends on several factors:

Where:

  • N: Number of turns in the coil (more wire = more torque).
  • I: Current flowing through the wire.
  • A: Area of the loop (Length * Width).
  • B: Strength of the external magnetic field.
  • Φ: The angle between the magnetic field and the normal (a line sticking straight out) of the loop’s surface.

3. The Role of the Magnetic Dipole Moment

Physicists often simplify the coil’s properties into a single vector called the Magnetic Dipole Moment (μ).

The torque can then be expressed as a cross product:

Essentially, the magnetic field is trying to force the “north pole” of the coil to align with the “south pole” of the external magnet. The further away they are from alignment, the harder the field “pulls,” creating maximum torque when the coil is parallel to the field lines.


4. How Motors Keep Spinning

There is one catch: once the coil rotates $180^\circ$, the forces would naturally try to push it back the other way, causing it to just wiggle back and forth.

To keep it spinning in one direction, motors use a commutator. This is a clever switch that reverses the direction of the current every half-turn. By flipping the current, the forces flip as well, ensuring the “push” always keeps the motor turning in the same direction.


Summary of Torque Factors

FactorEffect on Torque
More Current (I)Increases torque; the motor “pushes” harder.
Stronger Magnet (B)Increases torque; the interaction is more intense.
More Coils (N)Increases torque; adds up the force of many wires.
Larger Loop (A)Increases torque; provides a longer “lever arm.”

What are magnetic fields produced by currents?

College Physics 2: Lecture 24 – Magnetic Flux – Spahn’s Science Lectures

Whenever an electric charge moves, it creates a magnetic field. This is the foundation of electromagnetism: electricity and magnetism are not two separate forces, but two sides of the same coin.

The shape and strength of the magnetic field depend entirely on the geometry of the wire carrying the current.


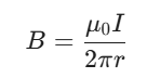
1. A Straight Wire (Circular Fields)

When current flows through a straight wire, it creates a magnetic field that circles around the wire like invisible rings. The further you get from the wire, the weaker the field becomes.

  • The First Right-Hand Rule: Point your thumb in the direction of the current (I). Your fingers will naturally curl in the direction of the magnetic field lines (B).
  • The Math: The magnetic field strength B at a distance r from a long straight wire is:

(Where μ0 is the permeability of free space, a constant that represents how easily a magnetic field forms in a vacuum.)

Determining the Direction of the Magnetic Field Around a Straight Current-Carrying Wire | Physics | Study.com

2. A Wire Loop (Concentrated Fields)

If you bend that straight wire into a circle, the magnetic field lines “bunch up” inside the loop. Every section of the wire contributes to a field pointing in the same direction through the center of the loop, making the field much stronger there than it was around a straight wire.


3. The Solenoid (The Artificial Bar Magnet)

A solenoid is a long coil of wire with many loops (turns) stacked together. When current runs through it, the magnetic fields of all those individual loops add up.

Inside the coil, the field is remarkably uniform and strong. Outside the coil, the field looks exactly like the field of a bar magnet, with a distinct North and South pole.

  • The Second Right-Hand Rule: This time, curl your fingers in the direction of the current flowing around the loops. Your thumb will point toward the North Pole of the solenoid.
  • The Math: The field inside a solenoid depends on the number of turns per unit length (n):
Solenoid Basics Explained – Working Principle – The Engineering Mindset

4. Electromagnets: Magnetic Fields on Demand

The most practical application of current-produced fields is the electromagnet. By placing a “ferromagnetic” core (like a piece of iron) inside a solenoid, the magnetic field can be amplified thousands of times.

Unlike a permanent fridge magnet, an electromagnet has two superpowers:

  1. On/Off Switch: The field disappears the moment you cut the current.
  2. Adjustable Strength: You can make the magnet stronger by increasing the current or adding more loops of wire.

Summary of Field Shapes

Wire ShapeField PatternPrimary Use
Straight WireConcentric circlesPower lines, coaxial cables.
Single LoopConcentrated centerAntennas, simple sensors.
Solenoid (Coil)Linear inside, dipole outsideStarters, valves, MRI machines.
ElectromagnetConcentrated through a coreScrap yard cranes, particle accelerators.

The Big Idea: In 1820, Hans Christian Ørsted noticed a compass needle move near a live wire. That moment proved that moving electricity creates magnetism, changing technology forever.

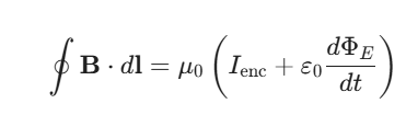
What is Ampere’s Law?

Ampère’s Law – Flipping Physics

Ampere’s Law is one of the four Maxwell’s Equations that form the foundation of electromagnetism. It provides a mathematical relationship between an electric current and the magnetic field it creates.

In simple terms: Ampere’s Law tells us that if you have an electric current flowing, there is a magnetic field “curling” around it, and the strength of that field is directly proportional to the amount of current.


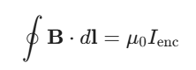
1. The Core Concept: The “Amperian Loop”

To use Ampere’s Law, physicists imagine an invisible closed path—called an Amperian Loop—surrounding a current. Ampere’s Law states that if you add up (integrate) the magnetic field along that entire path, it will be equal to the total current passing through the loop, multiplied by a constant.


2. The Mathematical Formula

In its integral form, the law is written as:

Where:


3. Why is it Useful?

While the Biot-Savart Law can calculate the magnetic field of any wire shape (it’s the “brute force” method), it involves very complex calculus. Ampere’s Law is the “shortcut” used for systems with high symmetry.

It allows us to easily calculate the magnetic field for:

  1. Infinite Straight Wires: Proving that B = μ0I / 2πr.
  2. Solenoids: Proving the field inside is B = μ0nI.
  3. Toroids (donut-shaped coils): Used in fusion reactors and transformers.

4. The Maxwell Addition (The “Missing Link”)

In the mid-1800s, James Clerk Maxwell realized Ampere’s Law was incomplete because it didn’t account for changing electric fields (like those found between the plates of a charging capacitor).

He added a second term, called displacement current, resulting in the Ampere-Maxwell Law:

This addition was revolutionary because it proved that a changing electric field can create a magnetic field, even without a physical wire—a discovery that explains how light and radio waves travel through the vacuum of space.


Summary Comparison

FeatureAmpere’s Law (Original)Ampere-Maxwell Law
Source of FieldSteady electric currents (I).Currents and changing electric fields.
Best Used ForDC circuits, solenoids, wires.Electrodynamics, light, capacitors.
AnalogyLike Gauss’s Law, but for magnetism.The complete picture of magnetic creation.

Pro Tip: Think of Ampere’s Law like a “current counter.” If your imaginary loop encircles a wire with 5 Amps, the “magnetic circulation” equals 5 units. If the loop encircles two wires with 5 Amps each flowing in opposite directions, the net enclosed current is zero, and the net magnetic circulation is zero!

What are magnetic materials?

Diamagnetic, Paramagnetic and Ferromagnetic Materials – Najam Academy

Magnetic materials are substances that respond to an external magnetic field. While we often think of “magnets” as just a few specific metals (like iron), almost all matter responds to magnetism at an atomic level—it’s just that some responses are so weak they are nearly impossible to detect.

The “magnetic personality” of a material is determined by the alignment of its electron spins.


1. The Three Main Categories

Most materials fall into one of these three groups based on how their internal “atomic magnets” behave:

Ferromagnetic (The Strong Magnets)

These are the materials we usually call “magnetic.” In these substances, the magnetic moments of the atoms naturally align in the same direction within small regions called magnetic domains.

  • Behavior: Strongly attracted to magnets and can be turned into permanent magnets themselves.
  • Examples: Iron, Nickel, Cobalt, and rare-earth alloys like Neodymium.

Paramagnetic (The Weakly Attracted)

In these materials, the atoms have a slight magnetic pull, but they are pointing in random directions due to thermal agitation.

  • Behavior: They are very weakly attracted to a magnetic field, but they lose all magnetism the moment the external field is removed.
  • Examples: Aluminum, Oxygen, Platinum, and Magnesium.

Diamagnetic (The Weakly Repelled)

Diamagnetism is a property of all matter, but it is usually so weak that it’s hidden by other effects.

  • Behavior: These materials create a very weak magnetic field in the opposite direction of an external field, meaning they are slightly repelled by magnets.
  • Examples: Copper, Gold, Water, and Bismuth.

2. Hard vs. Soft Magnetic Materials

In engineering, we further classify ferromagnetic materials by how “stubborn” they are:

  • Soft Magnetic Materials: These are easy to magnetize and demagnetize. They are perfect for transformer cores and electromagnets because you want the magnetism to turn off when the power does. (Example: Soft Iron).
  • Hard Magnetic Materials: These are difficult to magnetize, but once they are, they stay that way for a long time. These are used to make permanent magnets. (Example: Alnico, Neodymium).

3. The Role of Temperature: The Curie Point

Magnetism isn’t permanent. If you heat a magnet enough, the atoms start vibrating so violently that their alignment is destroyed. The specific temperature where a material loses its ferromagnetic properties and becomes merely paramagnetic is called the Curie Temperature ($T_c$).

  • For Iron, the Curie point is 770°C.
  • If you heat a red-hot iron nail, it will no longer stick to a magnet!

Summary Comparison

PropertyFerromagneticParamagneticDiamagnetic
Response to FieldStrong AttractionWeak AttractionWeak Repulsion
Atomic AlignmentParallel (Domains)Random (Aligns slightly)Opposes the field
Permanent?Yes (can be)NoNo
Common UsesMotors, HDD, Fridge MagnetsMRI contrast, ElectronicsSuperconductors, Levitation

Fun Fact: Pyrolytic carbon is so strongly diamagnetic that it can actually levitate over powerful magnets at room temperature!

What are the operational definitions of the Ampere and the Coulomb?

Coulombs and amps, electrical charge and current explained: from fizzics.org – Fizzics Organisation

The definitions of the Ampere and the Coulomb have evolved significantly over time. Originally, they were defined by the physical force between wires, but in 2019, the international scientific community (SI) redefined them based on fundamental constants of nature to ensure they never change.


1. The Ampere (A)

The Ampere is the SI base unit of electric current.

The Modern (Current) Definition

As of 2019, the Ampere is defined by fixing the numerical value of the elementary charge (e) to be exactly 1.602176634 * 10-19 when expressed in the unit Coulomb (C), which is equal to A * s.

  • Operational Meaning: One Ampere is the electric current corresponding to the flow of 1 / (1.602176634 * 10-19) elementary charges per second.

The Historical (Force-Based) Definition

Before 2019, the Ampere was defined by the magnetic force it produced. This is the definition most physics students learn because it’s easier to visualize:

  • The Setup: Two straight, parallel conductors of infinite length and negligible cross-section are placed 1 meter apart in a vacuum.
  • The Rule: If the current in both wires is exactly 1 Ampere, the magnetic force exerted between them is exactly 2 * 10-7 Newtons per meter of length.

2. The Coulomb (C)

The Coulomb is the SI unit of electric charge. It is a derived unit, meaning its definition depends entirely on the Ampere.

The Operational Definition

One Coulomb is the quantity of electricity (charge) carried in one second by a current of one Ampere.

  • Formula: 1 C = 1 A * 1 s

In terms of physical particles, one Coulomb is roughly equivalent to the charge of 6.242 * 1018 electrons (or protons).


3. How They Relate: The “Water” Analogy

To keep these straight in your head, think of electricity flowing through a wire like water flowing through a pipe:

  • The Coulomb is like a Gallon of water. It measures the total amount of stuff you have.
  • The Ampere is like the Flow Rate (Gallons per second). It measures how fast that stuff is moving past a specific point.
UnitMeasuresTypeAnalogy
Coulomb (C)Charge (Q)QuantityA bucket of water
Ampere (A)Current (I)RateWater rushing through a hose

4. Why did the definition change?

The old “two infinite wires” definition was impossible to actually build in a lab (you can’t have “infinite” wires or “negligible” thickness). By switching to the elementary charge ($e$), scientists can now calibrate instruments anywhere in the universe using a single electron, rather than a giant mechanical experiment.

Key takeaway: We define the Ampere (the flow) first as a base unit, and then we define the Coulomb (the amount) based on how much of that flow happens in one second.

Solved Problems

Physics

Earth and Atmospheric Sciences