What is differentiation in a single variable?
Earth and Atmospheric Sciences
Zeno’s paradoxes—specifically the Dichotomy Paradox—are the ancient world’s version of the “Area Problem.” They highlight the confusion that arises when we try to reconcile a finite world with infinite divisions.
In the context of a sequence, the “limit” is the mathematical resolution to Zeno’s claim that motion is impossible.
The Paradox: The Race to the Wall
Zeno argued that to walk from point A to point B, you must first reach the halfway point. To reach the remaining half, you must reach its halfway point (one-fourth), and then the next (one-eighth), and so on.
Since there are an infinite number of steps to take, Zeno concluded you could never actually reach the destination.
The Sequence of Steps
If the distance to the wall is 1 unit, the sequence of your progress looks like this:
- Step 1: 1 / 2
- Step 2: 1 / 4
- Step 3: 1 / 8
- Step 4: 1 / 16 … and so on.
The sum of these steps forms a geometric series:

The Role of the Limit

Zeno’s mistake was assuming that the sum of an infinite number of things must be infinite. Calculus proves that an infinite sequence of numbers can “settle” on a finite value.
In the context of a sequence an, the limit is the value that the terms get “arbitrarily close” to as n goes to infinity.
- The Partial Sums: If you add the first two terms, you get 0.75. Add three, you get 0.875. Add ten, you get 0.99902.
- The Convergence: As you take more steps (n → ∞), the total distance covered approaches exactly 1.
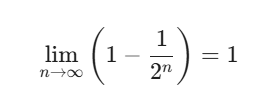
Mathematically, we state:

Why This Solved the Paradox
The limit tells us that infinite divisibility does not equal infinite size. * Zeno’s View: You can never finish because there is always “one more tiny step” to take.
- The Calculus View: While there are infinite steps, the total time required to take them also forms a convergent sequence. If each step takes half as long as the previous one, the total time is finite.
The wall is reached exactly at the limit.
