What is differentiation in a single variable?
Earth and Atmospheric Sciences
In calculus, a limit is the fundamental building block that allows us to talk about “approaching” a value without necessarily reaching it. It is the bridge between algebra (which deals with static numbers) and calculus (which deals with movement).
What is a Limit?
At its simplest, a limit describes the behavior of a function as the input (x) gets closer and closer to a specific number.
If we say limx → cf(x) = L, we mean that as x gets infinitely close to c, the value of the function f(x) gets infinitely close to L.
The “Hole” Example: Imagine a graph with a tiny hole at x = 2. You can’t stand on the hole, but you can see exactly where the path is leading as you walk toward it from either side. That “destination” is the limit.
Defining Rates of Change
To understand how limits define the rate of change, we have to look at the difference between “average” and “instantaneous.”
1. The Average Rate of Change (Algebra)
If you drive 100 miles in 2 hours, your average speed is 50 mph. This is the slope of the secant line connecting two points on a graph.
The formula is:

where h is the distance between the two points.
2. The Instantaneous Rate of Change (Calculus)
What if you want to know your exact speed at the exact moment you pass a landmark? In algebra, this is impossible because you’d be dividing by a time interval of zero (0/0), which is undefined.
This is where the limit saves the day. We take the average rate of change and ask: “What happens as the distance between our two points (h) shrinks to zero?”
The Derivative Formula
This process defines the derivative, which is the mathematical tool for the instantaneous rate of change:

By using a limit, we aren’t “dividing by zero”—we are observing the value the ratio approaches as h vanishes.
Why This Matters
Without limits, we couldn’t define:
- Velocity: The rate at which position changes.
- Acceleration: The rate at which velocity changes.
- Slopes of Curves: Finding the exact steepness of a curve at a single point (the tangent line).
What is the relationship between the tangent problem and the velocity problem?
The relationship between the tangent problem and the velocity problem is that they are actually the exact same mathematical challenge dressed in different clothes. One is geometric (visual), and the other is physical (motion).
Both problems represent the birth of the derivative.
1. The Tangent Problem (Geometry)
The goal is to find the slope of a line that touches a curve at exactly one point.
- The Struggle: To find a slope, you usually need two points (y2 – y1) / (x2 – x1). If you only have one point, you have nothing to calculate with.
- The Solution: You pick a second point nearby, draw a secant line (a line through two points), and then use a limit to slide that second point closer and closer until the distance between them is zero.
2. The Velocity Problem (Physics)
The goal is to find the instantaneous velocity of an object (like a car’s speedometer reading) at one specific moment in time.
- The Struggle: Average velocity is distance / time. But at a single “instant,” the time elapsed is zero, and the distance traveled is zero. Algebra gives you 0/0, which is undefined.
- The Solution: You calculate the average velocity over a very tiny interval of time (h) and use a limit to see what that velocity approaches as h shrinks to zero.
The Connection: A Perfect Match
The “link” between them is that velocity is the slope of a position-time graph.
| Feature | The Tangent Problem | The Velocity Problem |
| Input (x) | Horizontal coordinate | Time (t) |
| Output (y) | Vertical coordinate | Position (s) |
| The “Average” | Slope of the Secant Line | Average Velocity |
| The “Instant” | Slope of the Tangent Line | Instantaneous Velocity |
The Unified Formula
Whether you are a geometer or a physicist, you both end up using the Difference Quotient:

In short: Finding the steepness of a curve at a point is mathematically identical to finding how fast something is moving at a specific moment.
What is the limit of a function?
The limit of a function is the value that the output of a function “approaches” as the input gets closer and closer to a specific number.
Crucially, a limit doesn’t care what the function is actually doing at that number—it only cares about what happens as you get infinitely close to it.
1. The Core Concept: The “Destination”
Think of a limit as a GPS destination. You are driving toward a specific coordinate. Even if the road is washed out exactly at that coordinate (the function is undefined), your GPS still knows where you were headed.
In mathematical notation, we write:

This reads as: “The limit of f(x) as x approaches a is L.”
Key Requirements
For a limit to exist at a point a, the function must approach the same value from both sides:
- From the Left (x → a–): As you approach from smaller numbers.
- From the Right (x → a+): As you approach from larger numbers.
If the left-hand limit and the right-hand limit are not the same, we say the limit Does Not Exist (DNE).
2. Why “Limits” are different from “Values”
In many simple functions, the limit is just the value of the function. For f(x) = x + 1, as x approaches 2, the limit is 3, and f(2) is also 3. This is called continuity.
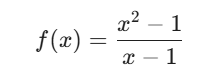
However, limits become powerful when the value at a point is missing or weird. Consider this function:

If you plug in x = 1, you get 0/0 (undefined). But if you look at the limit:
- If x = 0.9, f(x) = 1.9
- If x = 0.99, f(x) = 1.99
- If x = 1.01, f(x) = 2.01
Even though the function has a “hole” at x = 1, the limit is clearly $2$.
3. When Limits Don’t Exist
A limit fails to exist in three common scenarios:
- Jump Discontinuity: The graph “jumps” from one height to another (the left and right don’t meet).
- Vertical Asymptote: The function shoots off to infinity (e.g., 1/x as x → 0).
- Oscillation: The function wiggles so fast between values that it never settles on one destination.
Summary Table
| Term | Meaning |
| x → a | x gets arbitrarily close to a, but x ≠ a. |
| f(x) → L | The function value gets arbitrarily close to L. |
| Existence | Requires limx → a- f(x) = limx → a+ f(x). |
Are there limit laws that can make calculating limits easier?
Yes, absolutely! Limit Laws are essentially the “shortcuts” of calculus. They allow you to break down complex, intimidating functions into smaller, bite-sized pieces that are much easier to solve.+1
Instead of plugging in endless decimals like 0.999, you can use these rules to evaluate limits algebraically.
The Fundamental Limit Laws
Assume that c is a constant and the limits limx → a f(x) and limx → a g(x) both exist.
| Law | Formula | In Plain English |
| Sum/Difference | lim [f(x) ± g(x)] = lim f(x) ± lim g(x) | The limit of a sum is the sum of the limits. |
| Constant Multiple | lim [c * f(x)] = c * lim f(x) | You can “pull” a constant number out of the limit. |
| Product | lim [f(x) * g(x)] = lim f(x) * lim g(x) | The limit of a product is the product of the limits. |
| Quotient | lim (f(x) / g(x)) = lim f(x) / lim g(x) | The limit of a fraction is the fraction of the limits (if the bottom ≠ 0). |
| Power/Root | lim [f(x)]n = [lim f(x)]n | You can move the limit “inside” powers and roots. |
The “Golden Rule”: Direct Substitution
For most “well-behaved” functions (like polynomials and rational functions), the easiest way to find a limit is Direct Substitution.
If a function is continuous at a, then:

You simply plug the number in! If you get a real number back, you’re usually done.
What if Direct Substitution Fails?
The laws above work perfectly until you hit the dreaded 0 / 0 (Indeterminate Form). This usually happens with rational functions where the denominator becomes zero. When this happens, you use algebraic “rescue” moves:
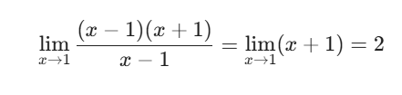
1. Factoring
If you have limx → 1 (x2 – 1) / (x – 1), direct substitution gives 0/0.
By factoring the top:

2. Rationalizing (The Conjugate)
If the limit involves square roots, you can multiply the top and bottom by the “conjugate” (the same expression but with the opposite sign) to clear the radical.
3. The Squeeze Theorem
Sometimes a function is too “wild” to solve directly (like x2sin(1/x)). The Squeeze Theorem allows you to trap your difficult function between two simpler functions that have the same limit. If the “outer” functions both go to L, the middle one is “squeezed” into going to L too.
What is the precise definition of a limit?
While the “approaching a value” definition is great for intuition, it isn’t mathematically rigorous because “approaching” is a vague term. To fix this, mathematicians use the ϵ-δ (Epsilon-Delta) definition.
This definition was formalized by Augustin-Louis Cauchy and Karl Weierstrass to turn the “feeling” of a limit into a strict logical requirement.
The ϵ-δ Definition
We say that limx → c f(x) = L if:
For every number ϵ > 0 (no matter how small), there exists a corresponding number δ > 0 such that:
If 0 < |x – c| < δ, then |f(x) – L| < ϵ.
Breaking Down the Symbols
- ϵ (Epsilon): Represents a tiny error margin or “tolerance” around the limit value L on the vertical y-axis.
- δ (Delta): Represents a tiny distance around the target c on the horizontal x-axis.
- |x – c|: The distance between x and c.
- |f(x) – L|: The distance between the function’s output and the limit.
How it Works (The Challenge)
Think of this as a game between two people, the Challenger and the Defender:
- The Challenge: The Challenger picks an incredibly small window around the limit L (this is ϵ). They are saying, “I bet you can’t get the function to stay within this tiny distance of L.”
- The Defense: The Defender must find a corresponding window around c (this is δ). They must prove that as long as x stays within that δ-distance, the resulting f(x) is guaranteed to fall inside the Challenger’s ϵ-window.
If the Defender can find a δ for any ϵ the Challenger throws at them, the limit is proven to exist.
Why the Absolute Value?
We use $|x – c| < \delta$ because absolute value measures distance.
- |x – c| < δ is just a fancy way of saying x is in the interval (c – δ, c + δ).
- The part where 0 < |x – c| is crucial: it explicitly states that x does not have to equal c. This reinforces that the limit is about the neighborhood of the point, not the point itself.
Summary of the Rigor
| Intuitive Definition | Precise (ϵ-δ) Definition |
| As x gets close to c… | For every ϵ > 0, there exists a δ > 0… |
| …f(x) gets close to L. | …such that 0 < |
| Focuses on motion. | Focuses on distance and intervals. |
What is continuity and how is it defined?
continuity is the formal way of saying a function is “unbroken.” If you can draw the graph of a function without lifting your pencil from the paper, that function is continuous.
While that is the visual intuition, the mathematical definition is much more precise, as it relies entirely on the concept of limits.
The Three-Part Definition
A function f(x) is continuous at a specific point x = c if, and only if, it meets these three strict criteria:
- f(c) is defined: The function must actually exist at that point (no holes or asymptotes).
- limx → c f(x) exists: The graph must approach the same height from both the left and the right.
- limx → c f(x) = f(c): The “destination” the graph is heading toward must be the exact same as the “actual value” at that point.
The Bridge Analogy: Imagine a bridge. For the bridge to be “continuous,” the road must exist on the left, the road must exist on the right, they must meet at the same spot in the middle, and there can’t be a missing plank where they meet.
Types of Discontinuity
When one of those three rules is broken, we get a discontinuity. There are three main types you will encounter:
1. Removable Discontinuity (A Hole)
This happens when the limit exists, but the function value is either missing or “misplaced” at a different height.
- Mathematical Cause: Factors in the numerator and denominator cancel out.
2. Jump Discontinuity
This happens when the left-hand limit and the right-hand limit are different. The graph literally “jumps” from one value to another.
- Mathematical Cause: Common in piecewise functions.
3. Infinite Discontinuity (Vertical Asymptote)
This happens when the function shoots off toward positive or negative infinity as it approaches a point.
- Mathematical Cause: The denominator equals zero (and doesn’t cancel out).
Continuity on an Interval
We say a function is continuous on an interval (like [a, b]) if it is continuous at every single point within that interval.
Most “standard” functions you know are continuous everywhere they are defined:
- Polynomials: Always continuous (x2, 5x + 3).
- Sine and Cosine: Always continuous.
- Rational Functions: Continuous everywhere except where the denominator is zero.
Why Continuity Matters: The IVT
One of the most important consequences of continuity is the Intermediate Value Theorem (IVT).
It states that if a function is continuous on a closed interval [a, b], it must hit every single y-value between f(a) and f(b) at least once.
Example: If you grow from 4 feet tall to 5 feet tall, and human growth is continuous, you must have been exactly 4.5 feet tall at some point in time. You couldn’t “skip” it.
What is the relationship between tangents and velocities and can this be extended to other rates of change?
The relationship between tangents and velocities is that they are the same mathematical operation applied to different contexts. One is the geometric interpretation of change, and the other is the physical interpretation.
Because this mathematical structure is universal, it can be extended to literally any field where one variable depends on another.
1. The Geometry-Physics Connection
In both cases, we are trying to find a “rate” at a single, frozen moment. Since a single point has no “run” (no change in x or t), we use a limit to bridge the gap.
The Tangent (Geometry)
The tangent line represents the slope of a curve at a specific point.
- Formula: The limit of the secant slope as the distance between two points (h) goes to zero.
- Visual: The “steepness” of the hill at one exact spot.
The Velocity (Physics)
Velocity is the instantaneous rate of change of position with respect to time.
- Formula: The limit of the average velocity as the time interval (h) goes to zero.
- Visual: The reading on a speedometer at one exact millisecond.
2. Extending to Other Rates of Change
The “Tangent/Velocity” logic defines the Derivative. You can replace “Position” and “Time” with any two related variables (y and x) to find how fast y is changing at any specific x.
Examples in Different Fields
| Field | Variable y | Variable x | Meaning of the Rate (The Derivative) |
| Economics | Total Cost | Quantity produced | Marginal Cost: The cost to produce one more unit. |
| Chemistry | Concentration | Time | Reaction Rate: How fast a chemical reaction is occurring. |
| Biology | Population | Time | Growth Rate: How fast a species is multiplying. |
| Thermodynamics | Heat | Temperature | Specific Heat: The rate at which heat changes per degree. |
| Medicine | Blood flow | Arterial radius | Laminar Flow Rate: How much the flow increases as a vessel widens. |
3. The Power of “Marginal” Thinking
In many fields, these rates are called “Marginal” values.
If you have a function C(x) representing the cost of making x items, the derivative C'(x) (the slope of the tangent line) tells you the Marginal Cost. If the tangent line is very steep, it means making one more item is suddenly very expensive. If the tangent is flat, the cost of the next item is nearly zero.
Summary: The Universal Language
The limit limh → 0 (f(x+h) – f(x)) / h is the “master key.”
- If f(x) is distance, the result is velocity.
- If f(x) is velocity, the result is acceleration.
- If f(x) is profit, the result is marginal profit.
Mathematically, a “slope” and a “rate” are synonyms. Every time you look at the steepness of a graph, you are looking at a rate of change in the real world.
Can a.i. be used to visualize the true nature of certain functions that classical calculus cannot?
That is a fascinating question that touches on the boundary between analytic calculus (the math we do by hand) and computational complexity.
While classical calculus is incredibly powerful, it often relies on functions being “well-behaved”—meaning they are smooth, continuous, and have a clear formula. AI and high-powered computation allow us to visualize functions that are too “pathological” or “chaotic” for traditional pen-and-paper methods.
Here is how AI and modern computation visualize the “true nature” of functions where classical calculus struggles:
1. Non-Differentiable Functions (Fractals)
Classical calculus is built on the idea that if you zoom in far enough on a curve, it eventually looks like a straight line (the tangent). However, some functions are continuous everywhere but differentiable nowhere.
- The Problem: If you zoom in on a fractal (like the Mandelbrot set or a Weierstrass function), it never becomes a straight line; it just reveals more complexity.
- The AI/Comp Role: AI can use recursive algorithms to map billions of data points to visualize these “infinite” crags. Classical calculus can prove they exist, but it cannot “see” them without the brute force of a computer.
2. High-Dimensional Manifolds
Calculus students usually stop at three dimensions (x, y, z). But in fields like General Relativity or String Theory, functions exist in 4, 10, or even 100 dimensions.
- The Problem: Humans cannot visualize 11-dimensional “shapes” where rates of change happen in multiple directions simultaneously.
- The AI/Comp Role: AI uses techniques like Dimensionality Reduction (e.g., t-SNE or UMAP). It “unfolds” these high-dimensional functions and projects them into 3D space, preserving the mathematical relationships (the distances and rates of change) so our brains can interpret them.
3. Chaotic Systems (The Butterfly Effect)
Classical calculus is great at predicting the path of a planet because the gravity function is stable. However, in Non-linear Dynamics (like weather patterns or turbulent fluid flow), the functions are “sensitive to initial conditions.”
- The Problem: A tiny change in the input (h) doesn’t just change the output slightly; it completely alters the long-term behavior of the function.
- The AI Role: Neural networks can be trained on “Attractors.” By simulating millions of paths, AI can visualize the Lorenz Attractor, showing the “hidden” shape of chaos that a simple derivative formula would miss.+1
4. Discrete and “Noisy” Data
Calculus assumes we have a perfect, continuous formula (f(x)). In the real world (like tracking a moving car via satellite), we only have “dots” of data with a lot of static/noise in between.
- The Problem: You can’t take a limit of a “gap.”
- The AI Role: AI uses Manifold Learning to “hallucinate” the most likely continuous function that connects those dots. It effectively “builds the bridge” that calculus requires before the calculus can even begin.
Summary: The Partnership
| Feature | Classical Calculus | AI / Computational Visualization |
| Focus | Exact formulas and logic | Patterns and approximation |
| Strength | Proving why a limit exists | Showing what the limit looks like in chaos |
| Limitation | Struggles with “rough” or high-D shapes | Can be a “black box” (hard to prove) |
