What are alternating current circuits?
In modern electrical engineering, Alternating Current (AC) is the standard for power transmission and distribution. Unlike Direct Current (DC), where electrons flow in a single direction, AC involves a periodic reversal of charge carrier direction. This cyclical behavior allows for efficient voltage transformation, making it the backbone of residential and industrial power grids.
Core Principles of AC Dynamics

An AC circuit is characterized by its frequency and amplitude. The voltage and current in these systems typically follow a sinusoidal waveform, described mathematically as:

Where:
- Vpeak is the maximum voltage amplitude.
- Ω (angular frequency) is defined as 2πf.
- φ represents the phase angle, indicating the position of the wave at $t = 0$.
Key Components and Impedance
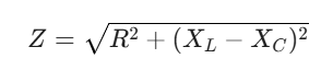
In DC circuits, resistance (R) is the sole inhibitor of current. In AC circuits, however, we must account for Impedance ($Z$), which combines resistance with Reactance ($X$).
- Resistors: Dissipate energy as heat; voltage and current remain in phase.
- Inductors: Oppose changes in current. In a purely inductive circuit, current lags voltage by 90°.
- Capacitors: Oppose changes in voltage. In a purely capacitive circuit, current leads voltage by 90°.
The total opposition to current is expressed as:

Why AC Dominates the Grid
- Voltage Scalability: Using transformers, AC voltage can be stepped up for long-distance transmission to minimize $I^2R$ (heat) losses and then stepped down for safe consumer use.
- Mechanical Simplicity: AC generators (alternators) are generally more durable and simpler to construct than DC dynamos.
- Three-Phase Power: Industrial applications utilize three overlapping AC sine waves, providing constant power delivery and allowing for the efficient operation of heavy-duty induction motors.
Summary Table: AC vs. DC
| Feature | Alternating Current (AC) | Direct Current (DC) |
| Direction | Reverses periodically | Constant single direction |
| Frequency | 50 Hz or 60 Hz (standard) | 0 Hz |
| Power Factor | Varies (0 to 1) | Always 1 |
| Applications | Home outlets, Power grids | Batteries, Solar cells, Electronics |
